Qwen3.5-Plus Released: Unbeatable Cost Performance
Meet Qwen3.5 Plus, the most powerful and affordable AI model yet. With breakthrough efficiency and multimodal native architecture, it delivers top-tier performance at a fraction of the cost.
“AI Disruption” Publication 8800 Subscriptions 20% Discount Offer Link.
On the day of the Chinese New Year, when everyone thought “this year’s grind ends here,” Qwen3.5-Plus arrives!
Its key feature can be summed up in one sentence: powerful and incredibly cheap.
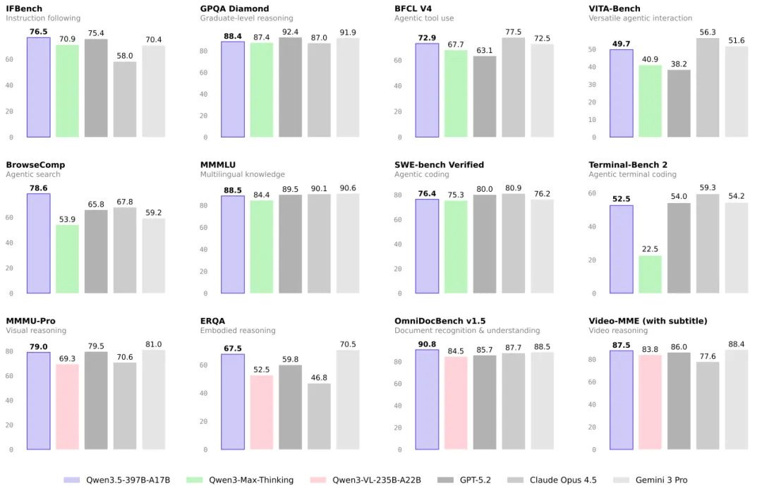
The “powerful” part shows in its immediate topping of the charts upon release. In the core capabilities everyone is paying attention to right now—multimodal understanding, complex reasoning, programming, and Agent intelligence—Qwen3.5-Plus has no real competitors among open-source models of the same level. It once again reinforces the community’s deep imprint that “the strongest open-source = Qwen.” On multiple benchmarks, it can even match or surpass several top-tier closed-source models like GPT-5.2 and Gemini-3-pro.




